Sean Carroll is one of the best writing scientists in the business. He’s the paragon of a writer who understands his subject completely and can explain it with clarity and ingratiating authority. The physicist transforms concepts in his field into prose that makes lay readers like me think we can understand the emergence of spacetime and quantum mechanics and explain them to friends at dinner parties. Which I have done, thanks in part to two of Carroll’s books The Big Picture and Something Deeply Hidden.

Carroll has a felicitous phrase for his approach to describing “the world at its deepest level,” and that’s “poetic naturalism.” He adopted the phrase from poet Muriel Rukeyser, who wrote, “The universe is made of stories, not of atoms.” Throughout his career, for years as a research professor at Caltech, and now a professor of natural philosophy at Johns Hopkins University, Carroll, 55, has told stories about the ways of the natural world—poetic in how they ring true.
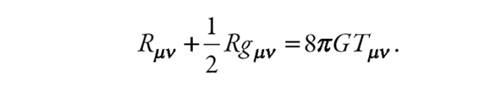
Which is why Carroll’s latest book, The Biggest Ideas in the Universe: Space, Time, and Motion—the first in a trio of books that verse readers in the laws of the universe—is a jolt. It exposes an anxiety lurking beneath the surface of popular science, which is we’re never getting the full picture. And why not? Because we’re missing math. In The Biggest Ideas in the Universe, Carroll sets out to rectify our wayward knowledge. You can read all the words you like about Einstein’s theory of general relativity, how mass and energy cause spacetime to curve, Carroll writes, “but until you understand this equation you won’t really understand Einstein’s theory”:

Carroll fleshes out the relatively short book with patient and cogent explanations of the equation’s symbols and the concepts behind them. Comprehension is challenging, for sure, for readers like me without a math background. But Carroll, as he explains with poise in our recent interview, is undaunted. He’s certain good readers will emerge, if not the next Fields Medal winners, new converts to calculus. What jolted me most about the new book, though, was its implication, seemingly in contrast to Carroll’s poetic naturalism, that readers will never grasp the world at its deepest level from prose alone. Carroll was revealing a crack in the popular science mission, and I was excited to ask him about it.
Let’s start with the first sentence of The Biggest Ideas in the Universe: “My dream is to live in a world where most people have informed and passionate views about modern physics.” That’s a very admirable dream, Sean.
Well, I’m someone who is a professional physicist, but I also have broader intellectual interests. I’m a little jealous of people in other fields whose work can be discussed knowledgeably by people outside their own disciplines, whether it’s economics, biology, or history. But there’s a barrier in physics and math. The way we speak about what we do to nonexperts is limited in a way the other fields aren’t. My strategy is to bite the bullet and teach people the equations.
You write, “You can read books, go to lectures, watch videos, listen to podcasts. The good news is that we do have a vibrant ecosystem of such resources, and it’s possible to learn quite a bit, albeit in a somewhat haphazard way. But at the end, you know you’re not getting the real stuff.” What is the real stuff?
The real stuff is precise, it’s rigorous, it’s clear, it’s unambiguous. What that means in practice is it takes the form of equations. It also means it’s not allegorical or analogical. It just says what it says.
My previous book, Something Deeply Hidden, was about quantum mechanics and the many worlds interpretation of quantum mechanics. Whenever you measure a little quantum system, different outcomes become real in different worlds. There are various objections to this view, and various arguments for it. Some of the objections are perfectly good objections. I get it. I don’t think they’re definitive, but I understand why you’re making that objection.
With other objections, I was like, “No, you don’t get it.” One objection was, “Where does the energy come from? Where does the energy come from when you make all these universes?” This is not a question that anyone who understands the equations would ask. If you don’t understand the equations, and you’re just talking about images, and intuitions, and metaphors, that question doesn’t go away.
The real stuff is precise, it’s rigorous, it’s clear, it’s unambiguous. It takes the form of equations.
There are other examples like Noether’s Theorem, the idea that if there’s a symmetry of nature, there’s a conserved quantity. How do you get those kinds of answers? There are a set of things which are crystal clear when you know the math, and utterly obscure when you don’t. I feel guilty if I’m forced to say, “Shut up and listen to the equations.” I never want to do that. I want to provide an explanation.
I understand concepts from physics pretty well when I read good science writers like you. But what am I missing if I don’t get the math?
You’re missing various implications and connotations of the words. I’ve written books without equations. I’m all in favor of it. But whenever you use an analogy, there’s a problem because unwanted implications go along with the analogy. Someone says the expanding universe is like a balloon with galaxies being little dots drawn on the surface of the balloon. You might ask, “What is it expanding into?” The answer is it’s not expanding into anything. You might respond, “But the balloon must be expanding into something.” No, the balloon is just an analogy. “OK, the dots expand. Does that mean galaxies expand?” No, the galaxies don’t expand. So that’s what I mean: The analogy doesn’t give you the real stuff about the expansion of the universe.
Are analogies for math always going to fail?
If we try to make perfect analogies, yes. There’s no reason why something like the expansion of the universe or the collapse of the wave function should have an analogy with anything in our everyday experience. It’s a different realm. It’s a realm that we didn’t know about thousands of years ago when language was invented.
There are times when I talk about the geometry of space, and I say, “Look, here is the formula. It works in any number of dimensions. It doesn’t matter whether space is three dimensional, four dimensional, five dimensional. If you get the equation, the concept is clear.” If you don’t get the equation, how do you visualize 10-dimensional spacetime? The answer is you don’t. You need the equation that tells you how spacetime behaves.
I admit that without a background in math, I struggled with the equations in The Biggest Ideas in the Universe, despite your fluid explanations of the symbols and what they mean. I did, though, gain a good sense of how universal principles are established in physics. The universe has foundational behaviors, regardless of the situation—the math says so.
I’m glad to hear you say that. And there are many examples. For instance, when the universe expands, light redshifts. Distant galaxies are redshifted. There was an early theory that was a competitor to that idea, the “tired light theory,” that idea that light just gets tired. No, it doesn’t. How do you know? Here’s the equation that says what light does. Light can propagate by itself, according to its equation. That’s its natural thing to do.
In science, we propose hypotheses, and we build theories in an attempt to fit the data. The data come in and we try to make a model from it. And when we succeed like Einstein did, the equations are much smarter than us. The equations that work can be extrapolated way beyond what we expected.
Einstein himself didn’t know about the Big Bang, but his equation did. And that’s just endlessly amazing. That’s why physics—even though I try to be ecumenical—is the most amazing science: These little ideas we come up with in our offices correctly describe things happening billions of years ago and billions of light-years away. And that’s only possible because of the equations.
So do we need to understand the language of math before we can touch the foundational truths about the universe?
Yes, I think that’s true. But I would emphasize that it’s a continuum, not a yes or no. When someone says A squared plus B squared equals C squared, Pythagoras’ theorem, most people don’t struggle with that. They get it. If you see a right triangle, and A, B, and C are drawn on the lines, and C is the hypotenuse, and you know what squared is, and you know what plus is, you’re not really going to struggle with that. To go from there to Einstein’s equation is a matter of degree, not of kind. And different people will be comfortable going different distances, but to pretend it’s an insuperable barrier is a mistake.
I appreciate what you’re saying about getting the “real stuff.” Knowledge deepens our appreciation. I was once traveling with a wolf biologist in Montana and I always remember something she said to me in the forest, “If you don’t understand ecology, nature is just scenery.” Are you saying something similar about physics? You can look up at the night sky and be awed. But it’s just scenery unless you know what you’re seeing. Would you agree?
I would completely agree. I’ve had similar experiences, but with geologists, not wolf biologists. If you go through the mountains with a geologist, it’s an entirely different experience. If you have a meal with a great chef, it’s an entirely different experience. There’s a depth of understanding if you go to a concert with a composer or a musicologist.
I have been to concerts with composers and musicologists and it’s an incredible experience to have them describe what we’ve heard. Though I’ve also been to concerts with people who don’t want the explanation, just the experience.
Right. It’s not for everybody. And no one person, no matter how ambitious they are, can be an expert in everything. So hopefully everybody has some pleasures that they just enjoy at a superficial level. I’m like that about classical music. I have no deep understanding of it, but I like it. I have a mildly deeper understanding of jazz, but I couldn’t tell you what mode someone was improvising in during their solo. And that’s fine.
The only reason we’re doing it is because humans are curious creatures and want to understand.
But with the things that I am an expert on, there’s no question that the character of the pleasure is different. That’s why I keep hammering on about the equations. In part, my hammering on about the equations is so people don’t feel cheated when they get The Biggest Ideas in the Universe. I’m not hiding the fact that there’s a lot of equations in there. But I try very hard to explain the principles behind them. I’m not just saying, here’s what a derivative is. I’m saying, here’s how physics works in the Laplacian paradigm, where you have the positions and velocities of everything, and you can predict the future. Why should you be able to predict the future from the positions and velocities of everything? That’s something that can be understood.
I’m not insisting that everyone become an expert in physics. What I’m trying to do is open a door for people who don’t want to become professional physicists but want to understand things better. I don’t think there should be this hard and fast wall between physicists and non-physicists.
Not all scientists agree, right? Even though I’m in the popular science business, I respect scientists who want to remain in their labs, do their work, and not feel they have to explain it to the lay public. Have you encountered scientists like that?
Sure.
What do you say to them?
I have a very consistent line. I don’t think every scientist has a duty to explain themselves to the wider world. I do think every scientific field has a duty to explain itself to the wider world. I don’t have an issue with people who don’t want to do it themselves, but with people who don’t value it when their colleagues do it. They should be extraordinarily grateful if they don’t want to talk to the public, but somebody else does. That’s taking a huge burden off them.
In fields like mine, where we’re thinking about dark matter and the birth of the universe, there’s no practical, technological, or economic application. The only reason we’re doing it is because human beings are curious creatures and want to understand. If we do the research and understand something, and don’t tell anybody, what’s the point? Why should we be supported by society? So I think the endeavor to explain what we’re doing to the public is extraordinarily valuable.
Did you have a Road-to-Damascus moment in your career when you realized you wanted to explain physics to people?
Not really. I always wanted to explain it to people. I am a physicist, technically, but also a philosopher. My job now is more about thinking and understanding and sharing and learning than it is about the subject matter of physics. The joy I’ve always had in physics was not only understanding new things but talking about them and explaining them to other people. And appreciating the good explanations I could get from other people. Do you know the famous dedication page of the general relativity textbook, Gravitation, by Misner, Thorne, and Wheeler?
No, I don’t.
I just unpacked it here in my new office. It’s 1,000 pages. It’s known as the phone book. Here’s the dedication. “We dedicate this book to our fellow citizens who, for love of truth, take from their own wants, by taxes and gifts, and now and then send forth one of themselves as dedicated servant, to forward the search into the mysteries and marvelous simplicities of this strange and beautiful universe, our home.”
So that’s the idea. We are supported by society. We’re not putting food on the table or anything like that. But a healthy society has enough resources to have some musicians and some artists and some scientists. Some scientists have direct economic, tangible benefits. Some don’t. Some of us are closer to musicians and artists. And so we have to give back as a field. It’s an absolutely central part of the endeavor.
You’re a great public defender of science against pseudoscientists, intelligent designers, religious figures—the whole parade. In my more cynical moments, I wonder, Why bother?
It’s true that there are plenty of people whose minds are made up. The closest correlation is, how old are they? You’re not going to reach some people of a certain age. But you do reach the young people. They are not hardened yet. I don’t see myself as a proselytizer or as a debater. I just want to help people understand and let them make up their own minds. And the good news is once you do that, they often are led in good directions.
Are science and religion “non-overlapping magisteria,” as Stephen Jay Gould believed?
I am not in any way a believer in the non-overlapping magisteria. I think these magisteria overlap seriously. There are ways of thinking about the world and what it’s made of, how it works, what its purpose is, that belong to both science and religion and spirituality. They overlap in certain places. And don’t overlap in others. Religion is a more comprehensive set of ideas, dealing with morality and community and behavior, about which science doesn’t say anything. But religion also says something about the nature of reality. And science also has something to say about that.
What are specific places where science and religion overlap?
Why does the universe exist? Why is there something rather than nothing? A scientific answer or even a modern philosophical answer, might be, “There need not be any answer to that question.” But that’s not what the religious arguments are going to tell you. They’re going to say, “No, we need an explanation for this.” There is a principle of sufficient reason, following Leibniz and so forth. It’s just very different.
I tell my colleagues this because it’s strange for modern physicists and philosophers to remain silent about religion, especially the physicists and philosophers who work in fundamental metaphysics, ontology, quantum mechanics, or spacetime. In those fields, as I said, we’re not building a better smartphone. We’re not curing cancer. What is the overlap we have with people’s everyday lives? Well, it’s the fundamental nature of reality. And the fact that the world works perfectly fine as a system obeying laws, without any support from anything supernatural. It’s much easier to understand natural selection or the origin of the universe at the Big Bang when you understand the science. And that might affect your views on the need for God.
Who was the first good popular science writer in physics?
We are in the special situation that one of the early pioneers was named Galileo. I mean, great popular physics writing was the invention of physics, and Galileo was really good at it. Even Einstein was pretty good at explaining things. And then people like Richard Feynman, George Gamow, and in a different way, Carl Sagan, came along. So we’ve always had that tradition. We didn’t have to invent it, but we do need to be reminded that it’s important and it needs to be rediscovered and appreciated.
Where does popular science go wrong?
Like popular anything, or media anything, it can sensationalize. It wants everything to be the latest and the greatest. The world has changed now with the internet. But it used to be that if you wanted to write something that would help explain some concept, you would need a news hook to explain it. Why would anyone care about science unless something had just happened? And I’m like, well, relativity is still true, even if nothing happened recently.
There’s something extra in science journalism that’s not there in other journalism.
There’s an ecosystem where researchers want to get attention. They want to get grant money. They have media relations departments at their universities. They want to over-claim what they do. And the journalist naturally must place some degree of credence in what the experts say. But you have to check against people who are not the ones doing the study, and you have to take their warnings seriously.
I’m a big believer in science writing and science journalism. As I said, I don’t think every scientist should be devoting their efforts to popularization. I think that some should, but almost every scientist has some interesting work that they’re doing.
So there’s plenty to be done by good journalists to think about what’s interesting that is going on, and not just what is the work being done by the most charismatic scientist out there. And they have to make it explicable, understandable, and tell some of the human story. I’m a big believer in the human story. That’s something that should be emphasized.
But you have to balance it. It defeats the purpose if it’s just the human story. There’s something extra in science journalism that’s not there in celebrity journalism. The other thing that is special about science journalism is the scientist can explain something and it’s the job of the journalist or the writer to translate it. That translation, as we were saying, often involves either analogies or extrapolation. And it’s possible to go wrong. So, to me, science journalism, more than political journalism or celebrity journalism, needs to be a back and forth.
I remember my very first experience with my own work being written about was when I was a graduate student. I was working on a project of whether you can build a time machine in a simplified three-dimensional spacetime. The journalists talked to us and got it right. At some point in the article, they mentioned a closed universe. And the editor, trying to clear things up, added a line saying, “A closed universe is one that will expand and then collapse.” But that’s not true in a three-dimensional spacetime. It’s true in a four-dimensional spacetime. They didn’t check with the scientist before putting it in.
Journalists are professionals at writing and explaining. Scientists are professionals at doing science. So it needs to be teamwork between them in a way that is different from economics or political science reporting.
Although we can’t always take you at your word. As you say, we have to check what you tell us against other scientists and perhaps contrary evidence, and use our own judgment about how best to inform readers.
That’s why you get paid the big bucks.
Kevin Berger is the editor of Nautilus.
Lead image: Tynyuk / Shutterstock






